math help

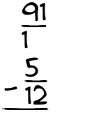
What is 91/1 - 5/12?

What is 91/1 - 5/12?

Here's how to subtract 5/12 from 91/1:

91
1
5
12

Step 1

We can't subtract two fractions with different denominators. So you need to get a common denominator. To do this, you'll multiply the denominators times each other... but the numerators have to change, too. They get multiplied by the other term's denominator.

So we multiply 91 by 12, and get 1092.

Then we multiply 5 by 1, and get 5.

Next we give both terms new denominators -- 1 × 12 = 12.

So now our fractions look like this:

1092
12
5
12

Step 2

Since our denominators match, we can subtract the numerators.

1092 − 5 = 1087

So the answer is:

1087
12

Step 3

Last of all, we need to simplify the fraction, if possible. Can it be reduced to a simpler fraction?

To find out, we try dividing it by 2...

Nope! So now we try the next greatest prime number, 3...

Nope! So now we try the next greatest prime number, 5...

Nope! So now we try the next greatest prime number, 7...

Nope! So now we try the next greatest prime number, 11...

Nope! So now we try the next greatest prime number, 13...

No good. 13 is larger than 12. So we're done reducing.

There you have it! The final answer is:
91
1
5
12
=
1087
12